企业邮箱 | 中文 | English

首页 > 资讯中心 > 技术资讯

通过高温原位X射线衍射和高温激光共聚焦显微镜观察铁矿石烧结反应过程


烧结矿制造过程是伴随着Ca-Fe-O体系熔体产生的高温非平衡反应。为了明确解析液相烧结反应的机械性能,使用高温原位X射线衍射装置和高温激光共聚焦显微镜,观察了Ca-Fe-O体系熔体的氧化铁以及钙铁氧体沉淀过程。根据得到的反应温度的冷却速度依赖性数据,制备了烧结反应的连续冷却物态转变(CCT)曲线。

一、实验材料

α-Fe2O3粉末试剂:粒子尺寸大约为12μm

CaCO3粉末试剂:粒子尺寸大约为23μm

二、实验过程

  2.1高温原位X射线衍射测量

在本研究中使用的高温X射线衍射测量系统(Q-XRD

试样在大气中以5.0×10-1K/s的升温速度从室温升高到1773K然后分别-8.3×10-1K/s-8.3×10-2K/s冷却速度降温冷却到673K。通过设置在试样容器侧面的R型热电偶测量试样温度。

  2.2高温组织观察

使用由Yonekura Mfg., Ltd.生产的高温激光共聚焦显微镜观察装置进行了原位观察如图1所示。该装置升降温速度可达到±500K/min,把试样加热到1770K,在0.3μm的位置分辨率下进行组织观察。


1 搭载激光显微镜的加热炉的模式图

 

三、实验结果

3.1升温过程中的反应

如图2a所示Fe90Ca105.0×10-1K/s的升温速度从300K加热到1773K时的升温过程中原位X射线衍射图

3.2冷却过程中的结晶和组织变化

   图2(b)和图2(c)分别在冷却速度(b)-8.3×10-1K/s(c)-8.3×10-2K/s的条件下Fe90Ca101773K冷却到300K的冷却过程的原位X射线衍射图


2 Fe90Ca10的升温过程、冷却过程

F: Fe2O3WF: Fe3O4C2F: Ca2Fe2O5CF: CaFe2O4CF2: CaFe4O7

 

   图3通过高温激光共聚焦显微镜观察Fe90Ca10在冷却速度i-3.3 K/sii-8.3×10-1K/s的条件下1770K冷却到300K的过程中的微观组织图像的一部分。

3 Fe90Ca10冷却过程中微观组织变化图像

 

在冷却速度快的条件i-3.3 K/s下,如图3i-2所示,沉淀的结晶粒子的形状接近三角形在慢冷却速度条件ii-8.3×10-1K/s下,得到的晶体的形状呈现相对随机的趋势。

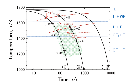
四、烧结程序的CCT

   通过使用连续冷却物态转变(CCT图)的概念,可以定量地理解原位Q-XRD高温激光共聚焦显微镜观察结果得到的烧结反应中的过冷现象。


4 Fe90Ca10的烧结反应的CCT曲线图


参考文献

1)Kimura,M.et al.:ISIJ Int.53(12),2047(2013)

2)Egundebi,G.O.et al.:Ironmaking Steelmaking.16(6),379(1989)

3)  稻角忠弘:烧结矿、东京,日本钢铁协会,2000

4) Leslie,W.C.:Leslie 钢铁材料学.东京、丸善,1985




Copyright 2013 版权所有:陕西午禾科技有限责任公司