氧气氛围中退火对5V锂电池表面沉积的LiCoMnO4薄膜的影响
本文研究了在101kPa氧流量下,使用均温热处理系统在不同温度和不同持续时间下退火对激光脉冲沉积后的LiCoMnO4薄膜的影响。用X射线衍射(XRD)、X射线吸收光谱(XAS)和电化学极化曲线对退火后的薄膜进行了表征。结果表明,薄膜中的氧容量与电池能量密度之间具有相关性。
一、实验过程
LiCoMnO4通过Li2CO3(99.99%),CoO(>90.0%),和MnCO3(≧99.9%)之间的固相反应制备。采用脉冲激光沉积(PLD)技术,在室温、氧气压力为0.1Pa的条件下,在Pt/Cr/SiO2基体上制备LiCoMnO4薄膜。
沉积的薄膜是非晶态。用表面轮廓仪测量的到的薄膜厚度为80nm左右,面积为1.16cm2。将所沉积的薄膜在500℃、600℃和700℃的氧气氛围中退火1-72小时,用于退火的均温热处理系统(GFA430VN,Thermo Riko,Japan,如下图所示)以800℃/h的速率升到退火温度。经过沉积后的退火,将样品冷却至室温。使用一种超微量天平通过重量差来测量每个薄膜的重量。
二、结果讨论
2.1 XRD和XAS测量
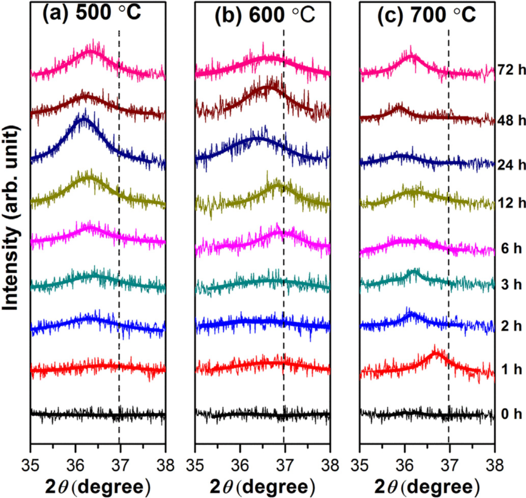
XRD图谱显示生成的LiCoMnO4薄膜是非晶态的,并且衍射峰的位置随着退火时间的改变会发生位移。如图1、2、3、4所示。
2.2 LiCoMnO4薄膜的电化学特性
氧气容量与LiCoMnO4薄膜的能量密度有关联。如图5所示。
2.3 LiCoMnO4薄膜中的氧气容量与电化学性能的关系
对沉积后薄膜在氧气氛围中进行退火处理,可以改善LiCoMnO4薄膜的充放电特性。
图1 在Pt/Cr/SiO2基体上生成LCoMnO4 薄膜的XRD的图谱
图2 (a) 500℃、(b) 600℃、(b) 700℃退火1-72小时,LiCoMnO4薄膜(311)晶面的XRD峰值
图3 LiCoMnO4薄膜的XRD(311)峰位置与退火时间的关系。退火温度为500℃(黑色方块),600℃(红色圆圈)和700℃(蓝色三角形)。绿线显示了大块LiCoMnO4的(311)峰值位置。
图4 LiCoMnO4薄膜的X射线吸收光谱:(a)Mn K-edge和(b)Co K-edge.,薄膜分别在500°C、600°C和700℃中退火6h
图5 LiCoMnO4薄膜在(a)500℃,(b)600℃,(c)700℃温度下分别退火0、1、3、6、72h的极化曲线
三、结论
对沉积后的LiCoMnO4薄膜进行退火处理可以改变氧的容量和电化学性能,其中在600℃退火6小时可以使薄膜达到最佳的放电容量。本研究表明,对LiCoMnO4薄膜进行沉积后退火是将锂离子电池的放电容量提高到5V的最佳方法。
论文来源: